Soal Osn Ipa Smp 2018 (Nomor 21-25)
2/09/2019
 Soal OSN IPA SMP Tahun 2018.  Kembali mengetik ulang soal olimpiade sains nasional IPA SMP Tahun 2018 tingkat nasional yang diselenggaran di kota padang sumatera barat pada tanggal 01 s.d 07 juli 2018 lalu. Silahkan simak soal berikutnya..
  21. Perioda bandul suatu jam di kota Padang adalah 1,0 sekon. Tekanan udara ruang terbuka di kota Padang adalah 0.101 MPa. Jam tersebut dibawa ke puncak gunung Singgalang. Tekanan udara dan perioda jam di puncak gunung Singgalang adalah
  A. lebih dari 0,101 MPa. lebih dari 1.0 sekon
  B. kurang clari 0,101 MPa. kurang dari 1,0 sekon
  C. lebih dari 0,101 .MPa. kurang dari 1,0 sekon
  D. kurang, dari 0,101 MPa. lebih dari 1,0 sekon
  22. Benda A dan B bergerak bersama-sama sesuai dengan grafik kecepatan terhadap waktu disamping ini. Setelah bergerak selama 10 detik A dan B memiliki perubahan posisi yang sama. 
   Kecepatan B sama dengan kecepatan A setelah mereka bergerak selama  
  A. 4 detik 
  B. 5 detik
  C. 6 detik
  D. 7 detik
  23. Sebuah pegas digantungkan vertikal pada atap sebuah lift. Pada Ujung bawah pegas digantungkan sebuah beban bermassa 2 kg melalui seutas tali. Seluruh volume beban terendam di dalam air yang diisikan pada sebuah bejana, dan beban tidak menyentuh dasar bejana (lihat gambar). Diketahui massa jenis air 1 kg/liter, massa jenis beban 0,5 kg/liter, konstanta pegas 400 N/m. Anggap percepatan gravitasi 10 m/s², abaikan massa pegas dan tali. Jika lift bergerak ke atas dengan perlambatan 2 m/s², pegas mengalami ....
   A. kompresi sebesar 4 cm
  B. kompresi sebesar 6 cm
  C. regangan sebesar 4 cm
  D. regangan sebesar 6 cm 
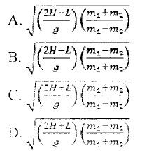
  24. Dua buah beban bermassa masing-masing mi dan m2 dihubungkan oleh seutas tali melalui sebuah katrol. Panjang tali adalah L dan in, > m2. Pada kasus ini ukuran katrol dan gesekan tali pada katrol dapat diabaikan, percepatan gravitasi adalah g. Posisi katrol adalah H di atas lantai, dengan H < L. Mula-mula 171, berada di lantai dalam keadaan diam. Jika pada t = 0 sistem dibiarkan bergerak, maka mi dan m2 berada di ketinggian yang sama pada waktu t = ....
   25. Sebuah kubus bersisi 10 cm dicelupkan pada cairan yang berada dalam suatu wadah. Cairan terdiri dari air (massa jenis 1000 kg/m³) dan minyak (massa jenis 900 kg/ma), dengan ketinggian permukaan minyak 3,6 cm di atas permukaan air. Jika permukaan atas kubus berada 2 cm di atas permukaan minyak, maka massa jenis kubus adalah .
  A. 664 kg/m³
  B. 704 ka/m³
  C. 764 kg/m³
  D. 804 kg/m³
  Silahkan dibagikan yaaa



